2026년도 “제25기 수목원전문가 교육과정” 모집 응시자에 대한 서류전형 합격자를 아래와 같이 공고합니다.
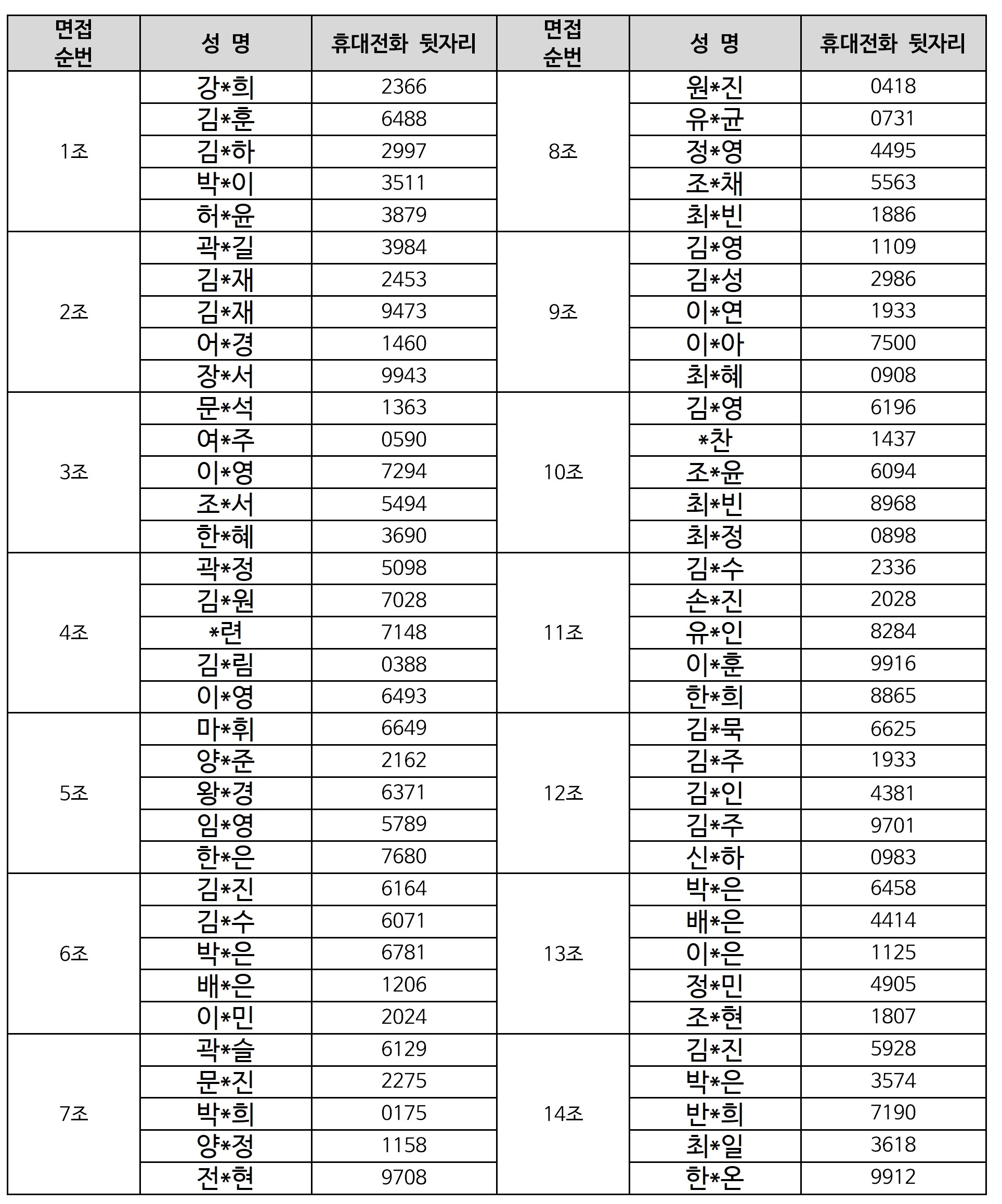
1. 서류전형 합격자 안내

2. 면접일시 및 장소
○ 면접 일시 : 2026년 1월 17일 토요일 09:00 ~ 17:00
※ 면접장 입실 30분 전까지 대기 장소 입실
○ 면접 장소 : 천리포수목원 에코힐링센터 2층 소강의실1
(대기 장소 : 에코힐링센터 2층 소강의실2)
○ 면접 형태 : 다대다 면접 진행 (5인 1조)
○ [첨부파일1] 2026년도 수목원전문가 교육과정 면접 진행 일정 필독
※ 면접 전날 서울, 경기, 대전, 충남권 이외 지역 면접자 숙소 필요 시 제공
※ 오전 면접자의 경우 서울, 경기, 대전, 충남권 숙소 신청 가능
※ 필수 설문 참여!
네이버폼(https://naver.me/FVSd5csV)으로 1월 12일 오전11시까지 제출
설문에 응답이 없을 시 미참여로 간주됩니다.
※ 문의(교육연구팀 041-672-9986)
2026. 1. 9.
공익재단법인 천리포수목원장
2026년도 “제25기 수목원전문가 교육과정” 모집 응시자에 대한 서류전형 합격자를 아래와 같이 공고합니다.
1. 서류전형 합격자 안내

2. 면접일시 및 장소
○ 면접 일시 : 2026년 1월 17일 토요일 09:00 ~ 17:00
※ 면접장 입실 30분 전까지 대기 장소 입실
○ 면접 장소 : 천리포수목원 에코힐링센터 2층 소강의실1
(대기 장소 : 에코힐링센터 2층 소강의실2)
○ 면접 형태 : 다대다 면접 진행 (5인 1조)
○ [첨부파일1] 2026년도 수목원전문가 교육과정 면접 진행 일정 필독
※ 면접 전날 서울, 경기, 대전, 충남권 이외 지역 면접자 숙소 필요 시 제공
※ 오전 면접자의 경우 서울, 경기, 대전, 충남권 숙소 신청 가능
※ 필수 설문 참여!
네이버폼(https://naver.me/FVSd5csV)으로 1월 12일 오전11시까지 제출
설문에 응답이 없을 시 미참여로 간주됩니다.
※ 문의(교육연구팀 041-672-9986)
2026. 1. 9.
공익재단법인 천리포수목원장